
Reforma
A tal reforma administrativa prometida pelo prefeito Léo Moraes (Podemos) logo nos primeiros dias de mandato aconteceu. Porém, despertou amor e ódio em vários setores da política e da própria prefeitura. Especialmente dos vereadores que tinham recém-pulado para o barco governista e aqueles que trabalharam na campanha do recém-empossado.
Reforma 2
Segundo reportagem institucional da então Superintendência Municipal de Comunicação (SMC), a intenção é “reduzir o tamanho da máquina pública, promovendo economia, dinamizando a gestão e assegurando a capacidade de investimentos e ações da Prefeitura de Porto Velho”.
Reforma 3
O Projeto de Lei Complementar 1553/2025 reduziu de 16 para 12 o número de secretarias municipais, entre outras mudanças administrativas. O prefeito exaltou o empenho de sua equipe, que já nos primeiros dias de trabalho apresentou essa proposta de reforma, e agradeceu aos vereadores pela sensibilidade em conhecer, apreciar e votar a matéria.
Reforma 4
Além da redução do número de secretarias de 16 para 12, com a fusão e incorporação de algumas, entre as mudanças também está a extinção das Agências Municipais de Regulação (ARPV) e de Desenvolvimento (ADPVH).

Reforma 5
De acordo com a matéria aprovada na Câmara, ficam criadas a Secretaria de Inclusão e Assistência Social, Secretaria de Turismo, Esporte e Lazer, Secretaria de Infraestrutura e a Secretaria de Comunicação. Também ficam criados a Secretaria de Governo e o Gabinete de Governança.
Reforma 6
A Secretaria de Segurança, Transporte e Mobilidade, assim como a Secretaria de Inclusão, é uma das promessas de campanha do prefeito, e abranger a Guarda Municipal, Central de Comando e Controle, Defesa Civil e Trânsito. Foi criada a Secretaria de Contratos, Convênios e Licitações, abrangendo contratos, convênios e serviços.
Reforma 7
A Secretaria de Desenvolvimento da Cidade, será responsável pelo planejamento urbano, regularização fundiária e edilício. A Sempog e a Semfaz vão se fundir, criando a Secretaria de Economia, encarregada da administração tributária, administração financeira e contábil e o planejamento orçamentário.
Análise
Sinceramente, a ideia pode ser até boa, mas pode dar errado. Ao fundir secretarias que funcionavam bem sozinhas (como Esporte junto com Turismo), causam travas e desconfiança na população e demais interessados. O professor e ex-vereador Aleks Palitot tem profundo conhecimento em história, mas será que vai dar conta do Esporte e Lazer? A conferir.
Análise 2
Outro ponto que pode causar bastante confusão é a junção das secretarias de Agricultura, Meio Ambiente e Sustentabilidade. Com vocação fortemente agrícola, os homens e mulheres do agronegócio não são muito afinados com as políticas atuais de meio ambiente, ainda mais que a pasta é comandada por Vinícius Miguel, que é de um partido de centro-esquerda (PSB).
Análise 3
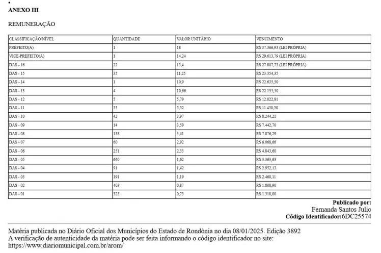
A reforma administrativa da atual gestão teoricamente enxugou cargos e secretarias, mas deu uma bela inflada nos salários. Na antiga tabela, o CC-1 (o menor) era de R$ 810 (para comissionados) e R$ 486 (60% para estatutários). Na nova, o menor (DAS-1) é de R$ 1.518 para quem é comissionado.

Análise 4
No total são 2.279 cargos, sendo o DAS-05 com a maioria (660 vagas) e salário de R$ 3.363,63. Tirando os salários de prefeito e vice-prefeita, que servem como teto no Executivo municipal, os DAS-16 com 22 posições vão receber vencimentos de R$ 27.807,73 (o maior na tabela atual) contra o CC-23 (o maior na época de Hildon) com R$ 12.420,00. Mais que o dobro.
Brigas
E tem muita gente insatisfeita como ritmo em que estão sendo feitas as nomeações de supostos aliados de Léo Moraes e companhia. A alta cúpula tem dado preferência (inclusive na Comunicação) para pessoas de fora da campanha ou que fizeram “jogo sujo” contra Léo. Inclusive tem assessores que publicaram fotos e vídeos com Mariana Carvalho tanto no 1º quanto no 2º turno e desqualificaram o atual prefeito.
Brigas 2
Basta dar umas olhadas nos diários oficiais que foram publicados desde os primeiros dias de mandato de Léo até hoje. Nomes bem conhecidos e que foram de muita confiança de Hildon Chaves e companhia, conseguiram cavar bons cargos e salários com a atual administração.
Brigas 3
Outros que também estão bem insatisfeitos com o espaço dado por Léo nas secretarias são os vereadores “aliados”. Todos os eleitos eram da coligação de Mariana, mas no dia do anúncio do resultado do segundo turno, a maioria (quase todos) pularam para o barco do ex-vereador, ex-deputado estadual e federal.

Brigas 4
E as confusões estão dando pano para manga. Diversas reportagens (que têm muitas verdades) estão sendo publicadas em sites, digamos, com menos audiência, mas que se espalham como rastilho de pólvora em grupos de WhatsApp. E apesar do esforço da alta cúpula de Léo em blindá-lo, a situação está cada vez mais delicada.
Brigas 5
E os bastidores estão bem turbulentos quando o assunto é a comunicação da prefeitura e os nomes por trás dela. Um administrador de uma página de humor no Instagram é figura central em diversas controvérsias que envolvem a gestão da agora Secretaria Municipal de Comunicação (Secom).
Brigas 6
Esse administrador/dono dessa página de humor, ocupa um alto cargo na própria prefeitura. Segundo fontes que circulam dentro do Prédio do Relógio, ele sim seria o verdadeiro comandante da comunicação do município, pois as escolhas da equipe seriam dele.
Brigas 7
Apesar de se intitular jornalista, esse dono da página de humor não seria conhecido e nem reconhecido pela imprensa, além de carregar um histórico que levanta supostas dúvidas sobre sua credibilidade. A página é bem conhecida por atacar figuras públicas e disseminar notícias falsas.
Complicado
Um exemplo emblemático é o caso de um vereador (que era da base de Hildon e agora é Léo “roxo”), teve sua vida pessoal exposta com informações falsas durante as eleições de 2022, situação que levou o sócio desse assessor/manda-chuva, a ser detido pela Polícia Federal por tentativa de extorsão.
Complicado 2
A postura desse dono da página de humor, em relação ao senador Confúcio Moura (MDB) é outro ponto crítico. Confúcio foi eleito para a 2ª Secretaria da Mesa Diretora do Senado e é considerado um dos parlamentares mais influentes do Planalto Central. Ele foi peça-chave na articulação de apoio ministerial para a gestão de Léo, o que aumentou significativamente a entrega de recursos para a Prefeitura de Porto Velho.

Complicado 3
Apesar disso, a página administrada por este assessor publicou conteúdos desfavoráveis ao senador, colocando em risco uma aliança estratégica para a cidade. As postagens não foram removidas, mesmo diante da importância de Moura para a administração local, o que tem gerado desconforto nos bastidores com aliados do senador e do próprio prefeito, segundo repassado para esta coluna.

